中金 | 高温超导带材:开启规模化应用时代

中金研究

伴随高温超导下游应用场景持续突破、带材生产技术不断成熟、带材价格大幅下降,我们认为高温超导带材有望开启规模化应用时代,高温超导带材厂商有望受益于行业从0-1的发展机遇期。


摘要

第二代高温超导材料REBCO有望得到广泛应用。超导材料根据超导临界温度不同分为低温超导材料(Tc<25K)与高温超导材料(Tc≥25K)。高温超导材料可在液氮温区(77K)运行、载流能力更高、能够提供更高场强的稳定磁场,商业化应用前景更为广泛。目前具备实用价值的高温超导材料主要有铋系、钇系、MgB2和铁基超导材料,其中第二代高温超导材料REBCO采用双轴织构和薄膜外延生长技术制备,具有良好的机械性能、更高的不可逆场(在77K下不可逆场达到7T)以及更强的载流能力,并且金属银的使用量较少、具有更大的降本空间,我们认为其有望成为最具产业化应用前景的高温超导材料。


可控核聚变等下游场景突破,将推动高温超导带材需求放量。高温超导材料在大电流输电和强磁场需求等场景具有广泛应用前景,目前已经应用于超导电缆以及超导感应加热设备中,并且已经收到来自光伏晶硅生长炉以及可控核聚变等下游领域的需求订单。其中可控核聚变单个百兆瓦功率级别的聚变工程堆对高温超导带材的需求量在数万公里不等,因此聚变商业化提速将有效拉动高温超导带材规模化放量以及降本。我们认为随着高温超导技术不断发展以及带材大规模制造带来规模效应,带材价格将持续下降,高温超导带材有望不断提高在已有场景的渗透率并打开新的应用空间,我们预计2028年全球高温超导带材的市场需求空间有望超百亿元。


产业链扩产叠加降本提速,高温超导带材有望迎来规模化应用时代。当前高温超导带材尚未得到大规模商业化应用的主要原因在于带材大规模制备技术尚不成熟以及生产成本较高。我们认为随着高温超导带材厂商持续扩产、带材生产技术逐步成熟、带材价格有望大幅下降,我们预计YBCO超导带材单位价格有望从当前的~167元/(KA*m)大幅降低至2028年的~21元/(KA*m),与Nb3Sn低温超导带材基本平价并大幅低于铜缆,高温超导带材有望迎来规模化应用时代。


风险

高温超导带材生产厂商扩产不及预期风险,高温超导带材上游原材料价格大幅波动风险,高温超导带材下游应用场景拓展不及预期风险。




正文

高温超导技术快速发展,奠定带材产业化基础

高温超导:在液氮温区工作的超导材料


超导现象是指超导材料在满足临界条件时表现出的零电阻、完全抗磁性和量子隧穿效应。超导体的三大临界条件分别为临界温度Tc、临界电流Jc和临界磁场Hc,三者之间相互制约并形成临界值曲面。当温度、电流和磁场在临界值曲面上或内部时,物质进入超导态,并表现出零电阻、完全抗磁性、量子隧穿效应三大特性。


根据超导临界温度的不同,超导可分为低温超导与高温超导。通常根据超导临界温度的不同,可将超导材料分为低温超导材料(Tc<25K)与高温超导材料(Tc≥25K)。自1911年超导现象被观测到以来,已发现的超导材料有上千种,然而由于载流性能、热稳定性、成材能力等诸多因素限制,具有实用化前景的超导材料数量相对有限。


图表1:超导材料发展历程

图片

资料来源:《超导“小时代”》(罗会仟,2022),中金公司研究部


► 低温超导:目前以NbTi(Tc=9.5K)和Nb3Sn(Tc=18K)为主的低温超导材料已经实现商业化生产,其中NbTi超导线材由于具有优异的中低磁场超导性能、良好的机械性能和加工性能,其用量规模目前占整个超导材料市场的90%以上,主要应用于核磁共振成像仪(MRI)、核磁共振波谱仪(NMR)和大型粒子加速器的制造等。但低温超导材料临界转变温度低,需要在液氦环境(4.2K)下工作,中国由于氦气资源贫乏(氦气资源总量占全球的~2%)以及产业链成熟度较低,液氦对外依存度高(2022年液氦对外依存度~94%);此外,低温超导材料在强场情况下电流密度衰减速度快,目前主要应用于15特斯拉(15T)以下场景,限制了低温超导材料的大规模商业化应用。


► 高温超导:目前具备实用价值的高温超导材料主要有铋系超导材料、钇系超导材料、MgB2和铁基超导材料。高温超导材料可在液氮环境(77K)下工作,液氮制备技术较为成熟,单吨价格在千元以内;此外,高温超导材料能够提供更高场强的稳定磁场,目前高温超导材料稳定运行最高磁场强度在45.5T,进一步打开下游高场强应用领域,商业化应用前景更为广泛。


图表2:超导材料的三大临界条件

图片

资料来源:《超导“小时代”》(罗会仟,2022),中金公司研究部


图表3:液氮和液氦价格对比  

图片

资料来源:百川盈孚,中金公司研究部



REBCO:最具产业化应用前景的高温超导材料


由于超导材料主要应用于强磁场环境和大电流输电等电力工程方面,需要具备较高的超导临界温度、上临界磁场和临界电流密度;其次,要有较低的交流损耗、较好的热力学和磁学稳定性;最后,超导线材的大规模应用还需要满足经济性要求。目前具备实用价值的高温超导材料主要有铋系超导体、钇系超导体、MgB2和铁基超导体,其中钇系超导带材REBCO在液氮温区具有较高的不可逆场(在77K下不可逆场达到7T)和临界电流密度,是真正的液氮温区下强电应用的超导材料;同时其金属基带采用Ni或者Ni合金,相比第一代高温超导材料具有较大的成本下降空间,我们认为REBCO超导材料有望得到广泛应用。


图表4:超导材料临界温度、场强、电流对比

图片

资料来源:《临界温度高于110K氧化物超导体的种类和特性》(童淑云、蔡传兵,2023),中金公司研究部


图表5:不同超导材料的不可逆场

图片

资料来源:《Iron chalcogenide superconductors at high magnetic fields》(Hechang Lei,2012),中金公司研究部


铜氧化物超导体:具有较高临界转变温度


第一代高温超导Bi系材料不可逆场低、主流工艺需要大量贵金属银,限制其大规模商业化应用。Bi系高温超导材料BSCCO的化学式为Bi2Sr2Ca(n-1)CunO(2n+4),根据n值不同有四种成相方式,其中Bi-2223(Tc=110K)是目前主要应用的高温超导带材。Bi系超导材料Tc>77K,可在液氮条件下转化为超导态,但其不可逆场较低(~0.2 T),因此只有在较低温度时才适用于强电应用;此外,由于其交流损耗大,不能应用于交流传输和变化磁场。另外,BSCCO是一种陶瓷材料,工程上多采用粉末套管法(PIT)制备,而套管材料主要是银合金,故BSCCO带材制备成本较高,价格难以大幅下降。    


图表6:第一代高温超导带材制备工艺

图片

资料来源:《超导“小时代”》(罗会仟,2022),中金公司研究部


图表7:第一代和第二代高温超导横截面示意图

图片

资料来源:《漫谈第二代高溫超导带材》(王伟等,2018),中金公司研究部


第二代高温超导REBCO带材是液氮温区下强电应用的超导材料,有望推动高温超导材料加速实现产业化。REBCO带材具有较高的不可逆场(在77K下不可逆场达到7T),在磁场中的临界电流较大,突破了Bi系材料只能实用于直流和低温场景的限制,是真正的液氮温区下强电应用的超导材料。此外,REBCO超导带材由金属基带、多层隔离层、REBCO超导层、保护层等组成,金属基带采用Ni或者Ni合金,相比第一代高温超导材料具有明显的成本下降空间,我们认为其在电力工程领域具有广阔的商业应用前景。


图表8:REBCO带材结构示意图

图片

资料来源:上海超导官网,中金公司研究部


MgB2:在液氢温区具备一定技术和成本优势


MgB2超导体的临界温度目前难以突破麦克米兰极限(40K),但其可在液氢温区(20~30K)工作、原材料成本较低、晶界处不存在弱连接能够承载更大的电流、无明显的各向异性,因此亦具备较高的应用研究价值,MgB2超导体在15~20K、1~2T范围内的核磁共振(MRI)应用上具有一定的技术和成本优势。


图表9:日本日立公司MgB2超导材料截面图

图片

资料来源:日立公司官网,中金公司研究部   


图表10:MgB2的临界温度难以突破麦克米兰极限

图片

资料来源:《高温超导带材制备工艺的发展现状》(梁晓宇等,2019),中金公司研究部


铁基超导体:在高磁场领域具有独特应用价值


铁基超导体临界转变温度最高可达55K,目前已发现的典型铁基超导母体主要有“11”型(FeSe)、“111”型(LiFeAs)、“122”型(BaFe2As2)、“1111”型(LaFeAsO)等,更多复杂的铁基超导体系也在不断被发现(如“21311”型、“12442”型、“22241”型、“32522”型等)。铁基超导因其临界电流密度高、上临界磁场高(Hc高达100~250T)、各向异性小、本征磁通钉扎能力强等优点,在高场应用领域具有独特的应用价值。铁基超导体于2008年被发现,目前其研发与应用仍处于快速发展阶段。


图表11:各种结构的铁基超导

图片

资料来源:《超导“小时代”》(罗会仟,2022),中金公司研究部 


图表12:铁基超导体具有较高的临界电流密度、更高的上临界磁场和较小的各向异性

图片

资料来源:《实用化高温超导材料的新进展》(张超等,2017),中金公司研究部



REBCO带材制备:采用双轴织构和薄膜外延生长工艺


REBCO超导带材为多层复合结构,由金属基带、缓冲层、超导层和保护层构成。由于REBCO超导层为陶瓷材料、延展性较差,通常需要在柔性金属基带上外延生长超导层,因此REBCO超导带材呈多层复合结构。其中金属基带占整个带材厚度约一半,一般是表面光洁的Ni或者Ni合金(如哈氏合金),用于支撑超导层为带材提供机械性能;缓冲层为不同种类和厚度的氧化物,顶部的缓冲层晶粒具有双轴织构特征,其通过外延金属基带的织构或通过离子束辅助沉积等方式构建织构,随后外延生长超导层;超导层是整个带材的核心,厚度约1-2um,占整个带材厚度的~1%;最后再用银层和铜保护层包裹带材,带材整体厚度仅0.1mm。


构建缓冲层双轴织构和外延生长超导薄膜是制备超导带材的核心工艺。缓冲层双轴织构技术和超导薄膜外延生长技术,解决了陶瓷性铜氧高温超导体的晶界弱连接和机械加工难等问题,使得带材的临界电流密度和不可逆场明显提高,是制备超导带材的核心工艺。


图表13:第二代高温超导带材各层结构示意图

图片

注:(a)以IBAD为基础的涂层材料;(b)以RABiTS为基础的涂层材料

资料来源:《漫谈第二代高温超导带材》(王伟等,2018),中金公司研究部


缓冲层:IBAD是目前使用范围最广的缓冲层辅助沉积工艺


缓冲层位于柔性金属基底和超导层之间,一是需要具有双轴织构且与超导层的晶格匹配良好,减少大角度晶界的产生;二是需要具有致密性和稳定的化学性质,阻止金属基底的元素扩散到超导层,同时不与超导层和金属基底发生反应。目前主要有3种工艺路线来实现缓冲层的双轴织构:轧制辅助双轴织构基带技术(RABiTS)、离子束辅助沉积技术(IBAD)和基底倾斜沉积技术(ISD)。


► RABiTS是把柔性的金属通过轧制得到带状材料,经退火再结晶从而直接获得双轴织构的晶粒,供缓冲层(如RE2O3、CeO2、YSZ等)外延生长。


► IBAD和ISD是分别采用离子束辅助和倾斜衬底技术获得薄膜沉积时的择优取向,进而在不锈钢带等多晶金属基体上生长双轴织构的氧化物缓冲层(如MgO或YSZ等),通常还需要再外延生长CeO2、LaMnO3等氧化物帽子层,形成多层氧化物薄膜组成的缓冲层。


IBAD技术是目前REBCO带材制备的主流路线。由于IBD技术路线可通过采用一定能量和角度的离子束进行照射,获得具有良好性能和织构的模板层,目前全球高温超导带材制造商例如美国SuperPower、STI,日本Fujikura、SWCC,俄罗斯SuperOx,韩国SuNAM,中国上海超导、苏州新材料等均采用IBAD技术来构建缓冲层的双轴织构。但由于其制备过程中需要离子束进行照射,因此需要较为昂贵的离子束生成设备和高真空的工作环境,未来仍然有比较大的工艺进步和降本空间。


超导层:目前多种路线并存,亟需提高良率和降低成本


超导层是决定超导带材性能的关键。目前主要有3种制备工艺:MOCVD、MOD和PLD技术路线。其中:1)MOCVD法生产的超导带材磁场性能更高,制备的薄膜能够实现原子级的均匀性,适合大规模制备超导层,但目前金属有机源价格较高、且利用率较低;2)MOD法具有镀膜速度快、无需真空环境、设备成本低、原料100%利用等优势,但制备的带材性能有待提高,而且由于制备过程中易出现气泡、褶皱、裂纹等,不易于制备厚层;3)PLD法工艺简单、靶材简单,但需要高真空环境以减少外部环境污染,存在镀膜速度慢、镀膜厚度不够均匀等问题。


目前三种工艺路线齐头并进,亟需提高良率和降低成本。美国SuperPower、中国东部超导等采用MOCVD法,俄罗斯SuperOx、日本SWCC、中国上海上创超导等采用MOD法、日本Fujikura、中国上海超导等采用PLD法。由于当前高温超导带材生产成本仍然较高,无论采用何种技术路线,未来的发展方向都是在提高材料载流性能、机械性能以及热稳定性的同时,进一步提高成品率和降低成本,从而实现更高性能、更高稳定性、更高性价比带材的批量化制备。


图表14:超导层外延生长的薄膜制备方法

图片

资料来源:《新型电力传输材料——REBaCuO高温超导涂层导体》(蔡传兵等,2020),《漫谈第二代高温超导带材》(王伟等,2018),《激光辅助MOCVD方法制备YBCO带材的研究》(朱红亮等,2018),中金公司研究部


图表15:国内外第二代高温超导带材技术路线

图片

资料来源:《新型电力传输材料——REBaCuO高温超导涂层导体》(蔡传兵等,2020),中金公司研究部



REBCO超导带材绕制:影响高温超导线圈的载流能力及稳定性


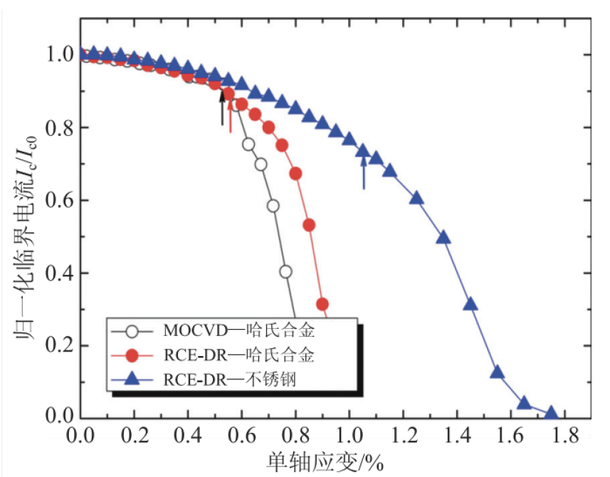
高温超导带材在应用之前通常还需要绕制成线圈,其绕制工艺直接决定了高温超导线圈的载流能力及稳定性。超导带材在线圈绕制过程中会受到机械应力,由于REBCO带材的缓冲层和超导层是脆性氧化物陶瓷材料,本性特征较脆;而且带材为层状结构,还会受到层间拉伸应力的影响,整体来看,REBCO带材受应力应变影响较大。而超导带材在受到应力时会产生内部缺陷,使得临界电流密度分布不均匀,进而导致超导带材临界电流衰减、带材载流能力有所下降,因此高温超导带材的绕制工艺至关重要。


目前高温超导线材的绕制方法主要包括层绕式和双饼式,此外对于可控核聚变等高场需求场景下,通常需要采用技术难度更大的集束缆线绕制方法。


► 层绕式:超导带材从里向外一层一层地缠绕,一般需要带材足够长才能完成至少一层缠绕。


► 双饼式:两个饼线圈上下排列,一根超导带材以中间为起点,分别向上和向下在双饼线圈骨架上从内到外径向连续缠绕。如果在绕制过程中工艺细节控制不当,也容易导致超导带材内部受损。


► 集束线缆式:对于可控核聚变等高磁场需求场景,其要求的载流能力更高,因此需要将几十根甚至上百根超导带材进行绞缆、形成大电流集束缆线。目前联创光电已研制出全球首个百米长的可控核聚变集束线缆,同时也在研发更高设计参数的集束线缆。


图表16:高温超导带材在受到应力时会导致临界电流衰减

图片

资料来源:《基于第二代高温超导带材的磁体研究进展与挑战》(阎伟华等,2019),中金公司研究部


图表17:双饼线圈结构示意图

图片

资料来源:《基于第二代高温超导带材的磁体研究进展与挑战》(阎伟华等,2019),中金公司研究部


下游应用场景突破,推动超导带材产业化加速


由于超导材料具有零电阻特性,一方面可以有效降低长距离输电带来的电损耗,实现远距离大电流传输;另一方面,利用超导带材制成的超导磁体可以在不损耗焦耳热的情况下提供更高的电流密度,从而产生更高磁场强度的稳定磁场。目前高温超导带材凭借显著的节能降效优势,已经应用于超导电缆以及超导感应加热设备,并且已经收到来自光伏单晶硅生长炉以及可控核聚变等下游领域的需求订单。其中可控核聚变单个百兆瓦功率级别的聚变工程堆对高温超导带材的需求量在数万公里不等,因此聚变商业化提速将有效拉动高温超导带材规模化放量以及降本。随着高温超导技术不断发展以及带材大规模制造带来规模效应,高温超导带材价格将持续下降,我们认为高温超导带材有望不断提高在已有场景(可控核聚变、超导电缆、铝感应加热、单晶硅生长炉等)的渗透率并打开新的应用场景(超导电机、磁悬浮列车等),进一步带动超导带材大规模产业化应用。


可控核聚变推动产业链降本及商业化提速


磁约束目前被认为是最有可能实现可控核聚变发电的途径。实现可控核聚变有三种约束方式:磁约束、引力约束和惯性约束。引力约束是通过物质自身质量产生巨大的引力来实现对燃料的约束(如太阳),目前在地球上无法实现;惯性约束的原理是是通过激光或离子束等驱动靶丸形成等离子体,利用等离子体粒子自身惯性,通过内爆被压缩到高温、高密度状态发生核聚变反应;磁约束是将氘氚燃料加热为等离子体态,利用强磁场约束等离子体沿着磁场方向做回旋运动,等离子体在运动过程中发生碰撞从而发生核聚变。


图表18:可控核聚变的三种约束方式

图片

资料来源:《超导磁体技术与磁约束核聚变》(王腾,2022),中金公司研究部


图表19:强磁场能够减小粒子回旋半径

图片

资料来源:《On the size   of tokamak fusion power plants》(Hartmut Zohm,2019),中金公司研究部


高温超导可产生强磁场,大幅度降低磁约束装置托卡马克的体积和成本。磁约束聚变装置主要有托卡马克、磁镜、仿星器、反向场箍缩等路线,目前的研究多集中于托卡马克路线,且技术进展较快,如国际热核聚变实验堆(ITER)、我国的EAST。托卡马克装置的主体部分由一个环形真空室和一系列磁场线圈组成。常规的导体存在的通电发热问题限制了磁约束核聚变的长时间稳定运行,而超导由于具有零电阻使得磁约束核聚变的长时间稳态运行成为可能。目前托卡马克磁体多采用低温超导材料作为超导线圈,而高温超导能大幅提升磁场强度(MIT-CFS采用高温超导线圈产生20T磁场强度 vs. CFETR低温超导线圈产生13T磁场强度),从而减小等离子体的回旋半径、降低托卡马克装置的建造体积和造价(ITER工程磁体占项目投资成本的37%)、减少装置的维护成本,推进可控核聚变的商业化进程。


图表20:托卡马克基本结构

图片

资料来源:《J-TEXT 托卡马克偏滤器位形的模拟与实现》(朱立志,2020),中金公司研究部 


图表21:ITER初始直接支出投资成本

图片

注:2018年数据

资料来源:《Approximation   of the economy of fusion energy》(Slavomir   Entler,2018),中金公司研究部


可控核聚变商业化项目建设提速,将带动高温超导带材需求量快速增长。截至2023年年初,商业核聚变公司共43家,较之2022年年初增加13家,聚变公司数量呈明显的上升趋势。核聚变公司吸引的投资额也在不断增加,且近两年增长趋势明显。截至2023年初,全世界核聚变公司吸引了超过60亿美元的投资,较2022年初的总投资额增加14亿美元,较2021年初的18.72亿美元增加40多亿美元。我们预计总投资中接近20%将用于高温超导带材采购,有效拉动高温超导带材需求放量。此外,随着工程化堆越来越大,单个百兆瓦功率级别的聚变工程堆对高温超导带材的需求量在数万公里不等,超过目前全球高温超导带材总产能,因此聚变商业化提速,将有效拉动高温超导带材规模化以及降本。


图表22:全球聚变公司数量

图片

资料来源:The global fusion industry in 2023,中金公司研究部  


图表23:40家核聚变公司对于聚变发电时间的预测

图片

资料来源:The global fusion industry in 2023,中金公司研究部



其他场景多元开花,进一步打开成长空间


超导电缆:输电容量高、节省地下空间


高温超导电缆具有输送容量高、线路损耗低、成本低、安全环保、可低压大电流传输等优点。1)输电容量高:超导电缆导体由无电阻和具有高临界电流密度的线材构成,10kV超导电缆传输电力的能力与传统110kV电缆相同;一条35kV超导电缆相当于传统220kV传统电缆的输送容量,可以替代4-6条相同电压等级传统电缆。2)电路损耗低:在超导状态下的导体材料直流电阻达到零欧姆,即使输电系统存在涡流损耗、制冷系统电能损耗,其整体损耗也比传统电缆低50%以上。3)成本低:高温超导采用液氮制冷,制冷成本低于低温超导;且超导输电构建的线路大约可以降低1~2个输送电压等级,使得系统的绝缘等级更低,提高经济性。


图表24:高温超导电缆结构示意图

图片

资料来源:南方电网,中金公司研究部 


图表25:高温超导电缆的优点

图片

资料来源:《高温超导电缆研究现状及应用场景分析》(朱金华等,2023),中金公司研究部


高温超导电缆已经在国内试点成功,产业化应用加速。高温超导电缆由于无电阻不用考虑散热空间问题,占地走廊远小于传统电缆(一条35kV超导电缆相当于传统220kV电缆的输送容量,可以替代4-6条相同电压等级传统电缆,可节省70%的地下管廊空间),成为向人口密集城市提供电力的重要方式。2021年9月,南方电网在深圳完成400米超导电缆的挂网运行;同年12月,上海正式投运世界首条1.2km/35kV/2.2kA/133MVA高温超导电缆示范线路,截至2023年10月,已向4.9万用户供电近3亿千瓦时,千米级超导电缆在全球城市核心区域具有广阔应用前景。


图表26:中国高温超导电缆发展历程

图片

资料来源:《高温超导电缆研究现状及应用场景分析》(朱金华等,2023),中金公司研究部


超导感应加热:加热效率高、节能降耗


超导感应加热可替代燃气加热、交流感应加热等技术路线,广泛应用于铝、铜等金属加工成型领域。预先加热是铝型材加工挤压铝锭之前的一道关键工序,目前我国大部分铝型材企业采用燃气加热和交流感应加热的技术路线对铝进行加工,这两种加热方法很难控制温度梯度,不能控制铝挤压时的温度均匀性,使得后续的加工精密度受到限制。超导直流感应加热建立约0.5-1T的直流电场,利用铝锭坯料在静止磁场中旋转、切割磁感线、形成涡流并且产生焦耳热从而实现对铝材的加热。超导感应加热的超导材料在低温下具有零电阻、强磁场、加热频率低等特点,因此具有加热均匀性高、能量转换效率高、节能减排、经济性优等优势。


高温超导感应加热具有加热均匀性高、高效节能等优点,2-3年可收回设备成本。


► 加热效果好:传统交流感应加热产生的涡流仅存在于金属表面,工件内部加热依赖热传导,透热深度小于10mm,因此金属加热不均匀;超导加热可以直接加热金属内部,透热深度大于100mm,金属内外受热均匀。


► 高加热效率:由于超导无电阻,不产生焦耳热,因此能量损耗低,加热效率可达85%(vs. 传统交流感应加热效率40~45%)。例如,联创光电的高温超导感应加热装置将金属从20℃加热到403℃仅需10分17秒;而使用传统的电阻炉则需要9小时以上。


► 节能减排:加热工序电耗占到传统铝型材企业电耗的60%以上,一台1MW的加热炉若采用超导直流感应加热,则企业一年可以节约~200万度电的电费开支,同时减少~300t二氧化碳排放量。


图表27:金属加热技术路线对比

图片

资料来源:《高温超导感应加热技术及应用浅谈》(黄建民等,2018),中金公司研究部


图表28:传统金属加热和超导金属加热对比

图片

资料来源:联创光电官网,《高温超导感应加热技术及应用浅谈》(黄建民等,2018),中金公司研究部


图表29:超导感应加热与常规技术耗能对比

图片

资料来源:《高温超导直流感应加热技术研究综述》(张东等,2023),中金公司研究部


高温超导感应加热装置市场空间广阔。目前全球市场主要供应商有德国Zenergy Power GmbH(720kW)、韩国Supercoil(300kW)、中国联创光电(MW级)等。中国市场来看,2008年英纳超导完成了超导加热技术的原理性小型样机的初步实验;2023年4月,联创光电投产世界首台兆瓦级高温超导感应加热装置,截至1H23末联创超导的订单已突破60台,年产能50台,1H23已交付6台。按照每台金属挤压机配备1台高温超导感应加热设备,我们估计国内高温超导感应加热设备市场容量~4,000-5,000台,高温超导感应加热装置空间广阔。此外,超导感应加热不仅可以用于金属铝加热,还可以加热铜、镁合金、钛合金、镍铬铁,实现对传统加热技术路线的有效替代。


单晶硅生长炉:提高良率、降低能耗


半导体行业对大尺寸单晶硅具有刚性需求,我国大力发展规模化生产直径300mm以上单晶硅的技术。半导体行业需要大规模集成电路和大面积太阳能电池的制备,而大尺度单晶硅可广泛应用于半导体集成电路、二极管、外延片衬底等领域。中国硅材料工业生产水平相对日、美、德等国仍有一定差距,且生产的大多为100-150mm硅锭和小直径硅片;而国际主流硅片产品直径为300mm,因此我国迫切需要发展300mm单晶硅制备技术并实现规模应用,以促进我国单晶硅行业的产业技术升级。


图表30:单晶硅尺寸发展历程

图片

资料来源:《直拉法单晶硅的生长原理、工艺及展望》(王正省等,2023),中金公司研究部


磁控直拉单晶硅技术(MCZ)是目前国际上生产300mm以上大尺寸半导体级单晶硅的主流方法。MCZ技术是通过磁场对导电硅流体的热对流形成抑制作用,抑制单晶硅生长过程中杂质和缺陷的产生,提高晶体完整性、均匀性,可实现高质量大尺寸单晶硅的快速生长。MCZ生产装备磁场部分可由常导磁体(我国目前主流技术)或超导磁体提供,其中常导磁体磁场强度低(小于0.2T)、功耗大(大于100kW)、冷却系统复杂(存在管道腐蚀等问题),且无法高效控制杂质和缺陷的产生;而超导磁体体积为常导磁体的20%、能够降低300mm单晶硅制造能耗的20%、提高30%的成品率,使得运行成本大幅降低。采用超导磁体提供0.5T稳定磁场的MCZ技术是目前国际上生产300mm以上大尺寸半导体级单晶硅的主要方法。


高温超导磁体能够缓解我国液氦资源不足的限制、降低磁控直拉单晶硅生长炉的冷却成本,且磁体体积较小、操作方便。目前国内磁控直拉单晶炉主要厂商主要采用低温超导技术路线,而高温超导替代优势明显,不仅提供更高强度磁场、磁体体积更小;且无需在液氦中冷却,可采用液氮或者制冷机制冷,而半导体领域对液氦资源限制担忧日益加大、国产化需求旺盛,我们认为高温超导磁体有望加快在超导磁控单晶硅生长炉的规模化应用,目前以联创光电为首的高温超导设备厂商正在加速相关应用研发。


超导电机:大幅减轻体积与重量、降低装机成本


超导电机以超导材料替代原电机中的常规绕组或者永磁体,具有体积小、重量轻、电阻小、寿命长等优点。超导发电机由超导线圈、转子、定子、冷却系统、轴承和外壳等部件组成,其中超导线圈是核心部件,代替了原电机中的常规绕组或永磁体。超导电机在船舶、航空、风力发电等大功率动力环境领域具有重要应用价值。


图表31:超导电机在船舶、航空、风力发电等大功率动力环境领域具有重要应用价值

图片

资料来源:《面向电动航空的高温超导电机技术研究发展》(宋东彬等,2023),《超导技术在舰船上的应用前景》(范昕,2017),中金公司研究部


图表32:半超导电机和全超导电机结构及典型样机

图片

资料来源:《航空超导电驱动力系统发展研究》(杨文将等,2021)中金公司研究部


图表33:不同类型船舶推进电机的技术参数比较

图片

资料来源:《超导技术在舰船上的应用前景》(范昕,2017),中金公司研究部


图表34:大功率飞机对电机功率需求路线图

图片

资料来源:《面向电动航空的高温超导电机技术研究发展》(宋东彬等,2023),中金公司研究部


近年来国内超导电机领域的研究开发取得重要进展。2007年中船重工712所最早成功研制100kW高温超导同步电机样机;2012年712所成功研制了1MW船舶推进高温超导同步电机(转速500rpm、气隙密度0.85T),成为国际上少数几个掌握高温超导电机关键技术的国家之一,当前超导电机领域的研究开发仍在快速推进中。


图表35:典型超导电动机/发电机的性能参数汇总

图片

资料来源:《面向电动航空的高温超导电机技术研究发展》(宋东彬等,2023),中金公司研究部


磁悬浮列车:提高运行速度与稳定性


高温超导磁悬浮列车速度快、稳定性高,具有实用化潜力。根据悬浮原理,磁悬浮列车可分为永磁悬浮、电磁悬浮、电动悬浮和超导钉扎悬浮。永磁悬浮利用车载永磁体与轨道永磁体之间的排斥力或者吸引力实现悬浮、承载能力强,但是在横向或者纵向上不稳定、有失稳的风险;电磁悬浮基于电磁铁和铁磁轨道之间产生的吸引力来实现悬浮,需要精确的主动控制系统来保持车体与轨道间的均匀气隙、且浮间隙较小(10mm左右);而超导悬浮是目前唯一可以在大悬浮间隙下(约100 mm)实现600km/h(vs. 目前高铁最高时速350km/h,客机一般时速1,000km/h)以上载人运行速度的技术,与真空管道结合后有望达到600-1,000km/h超高速,且悬浮导向自稳定、不需要额外的悬浮控制系统,因此高温超导磁浮交通系统具有实用化潜力。


图表36:高温超导钉扎磁悬浮列车工作原理与系统示意图

图片

资料来源:《磁悬浮列车发展现状与展望》(邓自刚等,2022),中金公司研究部


图表37:磁悬浮列车种类及优缺点

图片

资料来源:《磁悬浮列车发展现状与展望》(邓自刚等,2022),中金公司研究部


超导磁悬浮列车研究持续突破。2000年,西南交通大学诞生世界首辆高温超导磁浮实验车;2013年,国内首条载人高温超导磁浮环形试验线研制成功,超导磁浮试验车可以在环形线上以时速50公里持续运行;2019年国务院发布《交通强国建设纲要》,提出“合理统筹安排时速600公里级高速磁悬浮系统技术储备研发”,国内高温超导磁悬浮项目研究加快推进,2021年1月,我国自主研发设计、自主制造的世界首条高温超导高速磁浮工程化样车及试验线在四川成都正式启用,时速可达620km/h,标志着我国高温超导可以迈向商业化应用;2023年3月,由中车长客自主研制的国内首套高温超导电动悬浮全要素试验系统完成首次悬浮运行,速度达到600km/h,这辆采用钉扎悬浮技术的列车在静止时也能悬浮;西南交通大学邓自刚团队目前正在研究在真空管道将高温超导磁悬浮列车提速至1,000km/h的可行性。


产业链扩产+降本提速,开启规模化应用之路


经济性:2028年YBCO带材单位价格有望大幅低于铜缆


当前高温超导带材尚未得到大规模商业化应用的主要原因在于带材大规模制备技术尚不成熟以及生产成本较高。目前国内外以可控核聚变为代表的高温超导带材下游应用领域快速发展,带动高温超导带材需求大幅增长,高温超导带材厂商持续扩产,我们认为高温超导带材生产技术将逐步成熟、带材良率大幅提升、带材价格有望大幅下降。我们预计第二代高温超导带材YBCO超导层厚度有望从当前的2um提升至2028年的4um,12mm幅宽超导带材过流能力从1200A提升至2400A以上,每米带材价格从~200元降低至~50元,对应单位价格从~167元/(KA*m)大幅降低至~21元/(KA*m),与Nb3Sn低温超导带材基本平价(考虑到冷却成本与占地及施工成本、临界温度安全阈值,高温超导经济性高于低温超导),并大幅低于铜缆的单位价格。


图表38:铜缆价格

图片

注:截至2023年10月

资料来源:电缆宝,中金公司研究部


图表39:2028年Nb3Sn、YBCO超导线材单位价格测算

图片

资料来源:东部超导官网,中金公司研究部


市场空间:2028年市场空间超百亿元,领先企业迎“0到1”机遇期


测算2028年高温超导带材市场空间超百亿元


我们认为随着高温超导技术不断发展以及带材大规模制造带来规模效应,高温超导带材价格将持续下降,高温超导带材有望凭借节能降耗、场强更高等优势,将不断提高在已有场景(可控核聚变、超导电缆、铝感应加热、单晶硅生长炉等)的渗透率并打开新的应用场景(超导电机、磁悬浮列车等),带动高温超导带材需求量持续快速增长,我们预计至2028年高温超导带材的市场需求空间有望超百亿元,主要基于:


► 大型科学化装置:可控核聚变项目总投资中接近20%将用于高温超导带材采购,我们认为伴随可控聚变商业化提速,将有效拉动高温超导带材规模化放量。


► 输电领域:伴随高温超导带材价格下降,我们认为国内一线城市核心城区的高温超导电缆的渗透率将逐步提升,同时高温超导线缆有望逐步进入二三线城市,进一步打开市场空间。


► 商业化设备:凭借节能降耗以及提高良率等优势,我们认为高温超导带材在感应加热设备、晶硅生长炉等商业化设备中的渗透率将逐步提升。


领先企业有望迎来“从0到1”发展机遇期


当前高温超导带材行业整体格局较优,领先企业率先掌握核心工艺技术、形成核心专利护城河,有望受益于行业从0-1的快速发展机遇期。


图表40:高温超导产业链图谱

图片

资料来源:公司官网,新材料在线,《二硼化镁超导线带材及磁体应用研究进展》(闫果等,2013),《实用化高温超导材料的新进展》(张超等,2017),《超导材料及其应用现状与发展前景》(肖立业等,2018),中金公司研究部



风险提示


高温超导带材生产厂商扩产不及预期。高温超导材料处于产业化进展初期,可能存在一些技术难题尚未解决或下游应用推进不及预期带来的高温超导带材厂商扩产速度不及预期以及产业化进展缓慢风险。


高温超导带材上游原材料价格大幅波动。高温超导上游行业主要是Bi、Sr、Y、Ba、B、Mg、Cu等原材料,原材料价格大幅波动会对高温超导带材及其下游产品的成本和利润造成影响,不利于高温超导带材产业化快速推进。


高温超导带材下游应用场景拓展不及预期。感应加热、磁拉单晶硅、磁悬浮列车、核磁共振成像等高温超导材料下游应用领域具有多种技术路线,可能存在技术路线变更导致的高温超导带材下游需求不及预期风险。


文章来源

本文摘自:2023年12月17日已经发布的《高温超导带材:开启规模化应用时代》

分析员 曾 韬 SAC 执业证书编号:S0080518040001 SFC CE Ref:BRQ196

分析员 刘 烁 SAC 执业证书编号:S0080521040001

分析员 于 寒 SAC 执业证书编号:S0080523070011 SFC CE Ref:BSZ993


评论: